備蓄米の政府買入れ 入札低調-30年産第1回2018年1月29日
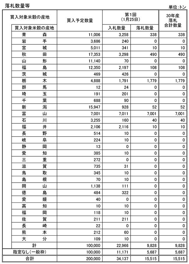
農林水産省は1月26日、平成30年産備蓄米の政府買入れ結果を公表した。買入れ予定数量20万tに対して落札数量は1万5000tにとどまり、第1回の落札数量としては過去5年で最低数量となった。
政府は備蓄米の買入れ数量を決め播種前に産地と買入れ入札を行っている。30年産の買入数量は20万tとしたが1月25日の第1回入札では落札数量は1万5515tにとどまった。

26年産からは年間買入予定数量の7割から8割が1回目の入札で落札しており、29年産も買入予定20万tに対して第1回入札で14万7000tが落札している。
現行の制度では32県に合計10万tを優先枠として配分しているが、もっとも多い約1万5000t枠がある新潟県も、今回の落札数量では52tにとどまった。
優先枠がある県で落札したのは新潟のほか、青森県(338t)、宮城県(10t)、秋田県(490t)、福島県(108t)、石川県(40t)、福井県(10t)といずれも少ない。一方、富山県は7001t枠全量を落札した。その他25県は落札数量はゼロだった。
今回の入札には入札参加資格者数119のうち、入札者数は60と半数にとどまった。県による生産・販売戦略の方針に違いが反映されたとみられるが、米価が上昇しているため政府備蓄米として播種前契約を結ぶことに慎重になっていると見られる。
同日、農水省は第2回入札を2月13日に実施することも発表した。買入れ予定数量は18万4485tとなる。
重要な記事
最新の記事
-
【注意報】ナシ黒星病 県下全域で多発のおそれ 鳥取県2026年4月8日 -
包材の脱プラ推進 サトウキビからつくるバイオマスフィルムへ切り替え開始 生活クラブ2026年4月8日 -
馬路村農協のクラファンをサポート 残り1軒となった青とうがらし農家支援 DMM2026年4月8日 -
山梨県産の白桃果汁を使用「ニッポンエール 山梨県産 白桃」新発売 協同乳業2026年4月8日 -
JGAP 国際サステナビリティ基準として評価 日本GAP協会2026年4月8日 -
3~6歳向け「きらきらキッズ」から菓子2品が新登場 日本生協連2026年4月8日 -
【JA人事】JAこまち(秋田県) 遠田武組合長を再任(4月1日)2026年4月8日 -
大分県産「なつほのか」パックご飯を期間限定特価で販売 JAタウン2026年4月8日 -
北の大地に「良樹細根」 JA北海道中央会会長(JA全中副会長) 樽井功氏【未来視座 JAトップインタビュー】2026年4月8日 -
水耕栽培×陸上養殖「アクアポニックス」を見学できる施設を開設 FIVOR2026年4月8日 -
農業・食・地域づくりのデータベース「ルーラル電子図書館」30周年記念割引など実施 農文協2026年4月8日 -
東京都が推進する「SusHi Tech Global Startups」に選出 サグリ2026年4月8日 -
第66回「雑穀エキスパート講座」受講申込み受付を開始 日本雑穀協会2026年4月8日 -
袋で育てるおいもの土「さつまいもバッグ」新発売 カルビーかいつかスイートポテト2026年4月8日 -
爽やかに春を感じるパフェ2種 8日から登場「果房 メロンとロマン」青森県つがる市2026年4月8日 -
【特殊報】キャベツにテンサイシストセンチュウ 県内で初めて発生を確認 愛知県2026年4月7日 -
【JA人事】JA八千代市(千葉県)鈴木秀昭組合長を再任(3月26日)2026年4月7日 -
水田作のソーラーシェアリングの可能性【熊野孝文・米マーケット情報】2026年4月7日 -
中国代表決定「JA全農杯全国小学生選抜サッカー大会」優勝は「サンフレッチェ広島F.Cジュニア」2026年4月7日 -
四国代表決定「JA全農杯全国小学生選抜サッカー大会」優勝は「徳島ヴォルティスジュニア」2026年4月7日


































