【注意報】マンゴーにハダニ類 宮古島で多発のおそれ 沖縄県2025年12月4日
沖縄県病害虫防除技術センターは、マンゴーにハダニ類(マンゴーツメハダニとシュレイツメハダニ)が宮古島で多発のおそれがあるとして、12月1日に令和7年度病害虫発生予察注意報第5号を発表した。
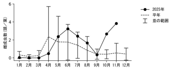
図1:ハダニ類発生の推移
沖縄県病害虫防除技術センターによると、宮古島における10月第4週のほ場調査の結果、ハダニ類の発生ほ場率は100%(平年値:34.0%)。葉当たり雌成虫数は3.8頭(平年値0.6頭)と平年と比較して多発(図1)。発生種は、マンゴーツメハダニ(58%)およびシュレイツメハダニ(42%)だった。
マンゴーツメハダニの雌成虫は体長0.4mmで、胴体全部が鮮やかな赤色、後部は紫がかった暗い赤色を呈す。卵は、赤色で卵柄を有する(図2)。沖縄県では周年発生し、主として硬化した葉の表面を加害。マンゴー以外にも、アテモヤ、ゴレンシ、ビワ、レイシ、レンブ等の果樹類、ヤブツバキ、ホルトノキ、モモタマナ、ハンノキ等の樹木類に発生する。
図2:マンゴーツメハダニの雌成虫と卵(提供:沖縄県病害虫防除技術センター)
一方、シュレイツメハダニの雌成虫は体長0.6mmで、胴体全体が紫がかった赤色を呈す。卵は扁平で色は無色透明~赤色まで変異に富む(図3)。沖縄県では周年発生し、主として葉表を加害。新葉および硬化葉のいずれも加害する。農作物以外では、主としてイルカンダ、タイワンクズ、デイゴ、ソシンカ等に発生する。
図3:シュレイツメハダニの雌成虫と卵(提供:沖縄県病害虫防除技術センター)
被害部は、葉がかすり状に白化・退色し、後に褐変して光沢を失う(図4)。また、葉の被害が多発すると、光合成量の低下により樹勢の衰えを招き、収量・品質への影響が懸念される。
図4:被害葉(提供:沖縄県病害虫防除技術センター)
同所では次のとおり防除対策を呼びかけている。
(1)側窓、出入口などの開放は必要最小限にする。
(2)定期的に葉表を観察し、早期発見に努める。
(3)かすり状の食害痕を見つけたら登録薬剤による防除を行う。
(4)薬剤抵抗性を発達させやすいので、同系統薬剤の連用を避ける。
(5)冬季はマシン油乳剤による防除が効果的である。同薬剤は天敵に影響が少なく、天敵を保護しながらの防除が期待できる。
重要な記事
最新の記事
-
シンとんぼ(176)食料・農業・農村基本計画(18)国民一人一人の食料安全保障・持続的な食料システム2026年1月17日 -
みどり戦略対策に向けたIPM防除の実践(93)キノキサリン(求電子系)【防除学習帖】第332回2026年1月17日 -
農薬の正しい使い方(66)植物色素の生成阻害タイプの除草剤の作用機作【今さら聞けない営農情報】第332回2026年1月17日 -
【地域を診る】能登半島地震から2年 復興法人制度活用の提案 京都橘大学学長 岡田知弘氏2026年1月16日 -
スーパーの米価、2週ぶりに低下 前週から149円下がり5kg4267円に 米からパン、めん類にシフトか2026年1月16日 -
「2026年 ISEKI Global Awards」開催 井関農機2026年1月16日 -
近づく限界、米価に暴落懸念 「2014年の再来」防げるか2026年1月16日 -
(469)なぜタイのエビは主役ではなくなったのか?【三石誠司・グローバルとローカル:世界は今】2026年1月16日 -
岩手県の直営飲食店舗で「いわての牛乳ありがとうフェア」20日から開催 JA全農2026年1月16日 -
縁起が良い赤い食べ物「冬土用未(ひつじ)の日フェア」17日から開催 JA全農2026年1月16日 -
バッテリー診断・価値向上によるEVコンバージョントラック普及へ 共同実証開始 JA三井リースグループ2026年1月16日 -
日本の蚕糸 消滅していいの? 3月にフォーラム開催 大日本蚕糸会2026年1月16日 -
【浅野純次・読書の楽しみ】第117回2026年1月16日 -
「花・緑ガイドボランティア」募集200人に3493人が応募 2027年国際園芸博覧会協会2026年1月16日 -
トラクタ「JAPANシリーズ」BJ65・74・90・105を新発売 無段変速ミッション搭載で2026年6月投入 井関農機2026年1月16日 -
北海道の暮らしと仕事セミナー「一次産業(農業・林業・水産)のお仕事編」開催2026年1月16日 -
防災力アップ体験イベント「もしもFES大阪2026」3月に開催 こくみん共済 coop2026年1月16日 -
推しいちごに投票「天下分け目のいちご戦国時代2026」開催 食べチョク2026年1月16日 -
フルーツ王国ふくしま「ゆうやけベリー・県産いちご」フェア開催 福島県2026年1月16日 -
「いちごさんどう2026」開幕 相武紗季をゲストに迎え発表会 佐賀県2026年1月16日


































